1.2.1 Lãi suất thực cân bằng (r*) hay Lãi suất tự nhiên3
Lãi suất tự nhiên (LSTN) tương đương với mức lãi suất thực cân bằng đối với nền kinh tế, là mức lãi suất tại đó CSTT là trung tính, không thắt chặt cũng như không nới lỏng. Tổng quát hơn, LSTN được định nghĩa như là mức lãi suất phù hợp với mức sản lượng hội tụ về mức sản lượng tiềm năng, tại đó mức sản lượng phù hợp với mức lạm phát ổn định.
Một NHTW mong muốn giữ giá cả bền vững phải hành động nhằm giữ mức lãi suất thực tế của ngân hàng bằng với mức LSTN. Quan điểm này gần đây trở thành một phần quan trọng trong học thuyết kinh tế Keynes mới. Khi NHTW giữ LSCS thấp hơn mức LSTN nhằm gia tăng sử dụng các tài nguyên, đó là sự thể hiện CSTT nới lỏng; ngược lại nếu NHTW giữ LSCS cao hơn mức LSTN nhằm hạn chế sử dụng các tài nguyên thể hiện CSTT thắt chặt. LSTN thay đổi theo thời gian tùy thuộc vào mức độ biến động của kinh tế vĩ mô ảnh hưởng đến nền kinh tế và phải được xác định trước khi có thể quyết định CSTT nới lỏng hay thắt chặt. Trong thực tế, việc xác định mức LSTN là khó khăn, phụ thuộc vào việc chọn lựa phương pháp ước lượng, ví dụ như ước lượng LSTN căn cứ vào các giá trị lãi suất lịch sử hoặc trên cơ sở LSTN của các quốc gia khác, phương pháp sử dụng mô hình kinh tế lượng dùng bộ lọc Kalman và phương pháp tính bình quân lãi suất thực qua một thời kỳ.
1.2.2 Lạm phát mục tiêu
Lạm phát mục tiêu là ý muốn chủ quan của các nhà hoạch định kinh tế trên cơ sở điều kiện kinh tế và các chỉ tiêu dự báo để ước lượng một mức lạm phát mong đợi trong một giai đoạn kinh tế nhất định.
1.2.3 Độ lệch sản lượng
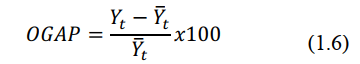
Độ lệch sản lượng được đo lường bằng sự khác biệt giữa sản lượng thực và sản lượng tiềm năng qua công thức sau:
Trong đó: OGAP: độ lệch sản lượng; Yt: sản lượng thực tính theo giá năm gốc
năm thứ t; ̅ là sản lượng tiềm năng năm thứ t.
Sản lượng tiềm năng là số lượng hàng hóa và dịch vụ tối đa một nền kinh tế có thể đạt được ở trạng thái hiệu quả nhất, đó là năng lực toàn dụng. Sản lượng tiềm năng được xem như là năng lực sản xuất của một nền kinh tế. Bất kỳ phương pháp ước lượng sản lượng tiềm năng phụ thuộc vào điều kiện giả thiết của mô hình và chuỗi số liệu. Các phụ thuộc này là chủ thể của sự không chắc chắn và sai số. Một số phương pháp xác định sản lượng tiềm năng bao gồm phương pháp tách thành phần dữ liệu sử dụng bộ lọc Hodrick-Prescott hoặc mô hình không gian-trạng thái của Watson hoặc một số kỹ thuật phức tạp khác như mô hình MV (multivariate), SVAR (structural vector auto-regression), multivariate unobserved components (UC), và phương pháp dùng hàm sản xuất Cobb-Douglas.
Trong các điều kiện kinh tế khác không đổi, nếu OGAP dương, khi đó giá cả bắt đầu tăng do phản ứng với áp lực cầu tăng trên thị trường, điều này thường xảy ra trong nền kinh tế tăng trưởng nóng làm gia tăng áp lực lạm phát và NHTW có thể áp dụng CSTT thắt chặt để làm nguội nền kinh tế bằng cách tăng lãi suất. Ngược lại, nếu OGAP âm, giá cả bắt đầu giảm tương ứng với việc áp lực cầu giảm, thường xảy ra trong thời kỳ suy thoái kinh tế, NHTW có thể áp dụng CSTT mở rộng bằng cách hạ thấp lãi suất, thúc đẩy tăng tổng cầu, kích thích tăng trưởng kinh tế. Khi OGAP bằng không (0), nền kinh tế ở trạng thái việc làm đầy đủ. Đây là một trong những mục tiêu CSTT của NHTW. Sản lượng thực tăng lớn hơn mức sản lượng tiềm năng không phải lúc nào cũng gây ra lạm phát. Nếu sự tăng trưởng sản lượng thực do kết quả của sự tăng năng suất lao động, hay nếu có sự trì trệ trước đây trong nền kinh tế, các doanh nghiệp có thể đáp ứng nhu cầu gia tăng bằng cách sử dụng tốt hơn, hiệu quả hơn các yếu tố sản xuất (các sốc cung hàng hóa), thường không gây áp lực gia tăng tỉ lệ lạm phát. Tuy nhiên, nếu sản lượng thực tăng do cầu tăng vượt quá mức sản lượng tiềm năng sẽ gây tăng tỉ lệ lạm phát.
Một số khái niệm về kinh tế vĩ mô
+ Độ lệch lãi suất được định nghĩa là sự chênh lệch giữa lãi suất thực và LSTN.
+ Độ lệch thất nghiệp là sự chênh lệch giữa tỉ lệ thất nghiệp thực tế và tỉ lệ thất nghiệp không gia tăng lạm phát (NAIRU). NAIRU là tỉ lệ thất nghiệp tương ứng với mức lạm phát bền vững. Sự chênh lệch của tỉ lệ thất nghiệp so với NAIRU có liên quan đến sự chênh lệch của sản lượng thực và mức sản lượng tiềm năng. Tỉ lệ thất nghiệp xoay quanh giá trị NAIRU. Nếu các nhà hoạch định chính sách đạt được tỉ lệ thất nghiệp ở mức bằng với NAIRU, nền kinh tế sẽ sản xuất ra giá trị sản lượng tối đa mà không có hạn chế về nguồn lực, hay nói cách khác đi là trong điều kiện độ lệch sản lượng bằng 0 và không có áp lực lạm phát (lạm phát ổn định).
+ Trạng thái cân bằng lý tưởng của nền kinh tế đạt được khi các độ lệch kinh tế vĩ mô (độ lệch sản lượng, độ lệch lạm phát, độ lệch lãi suất và độ lệch thất nghiệp) bằng không.
Để lại một bình luận